티스토리 뷰
목차
알룰로스(Allulose), 건강한 대체 감미료의 모든 것

알룰로스란 무엇인가?
최근 몇 년간 건강한 식습관에 대한 관심이 급격히 증가하면서, 천연 대체 감미료에 대한 수요도 함께 늘어나고 있습니다. 알룰로스(Allulose)는 이러한 건강 트렌드 속에서 주목받고 있는 대표적인 대체 감미료 중 하나입니다. 알룰로스는 자연에서 발견되는 드물지만 강력한 감미료로, 설탕과 유사한 맛을 제공하면서도 건강에 미치는 부정적인 영향이 거의 없다는 점에서 큰 인기를 끌고 있습니다. 이번 블로그 글에서는 알룰로스의 정의, 효능, 사용 방법, 그리고 주의사항에 대해 자세히 알아보겠습니다.


알룰로스의 정의와 특성
알룰로스는 과학적으로 D-프럭토스(Fructose)의 이성질체로, 화학 구조는 설탕(수크로스)과 매우 유사합니다. 그러나 알룰로스는 체내에서 거의 대사되지 않기 때문에 설탕과는 달리 혈당 수치를 급격히 상승시키지 않으며, 칼로리가 매우 낮다는 특징이 있습니다.

알룰로스의 기원
알룰로스는 자연적으로 무화과, 건포도, 밀, 메이플 시럽 등에서 소량으로 발견되며, 1940년대에 처음 발견되었습니다. 하지만 상업적인 생산은 최근에서야 시작되었으며, 오늘날에는 주로 옥수수나 사탕수수에서 추출된 물질을 효소 처리를 통해 알룰로스로 변환하여 생산하고 있습니다.

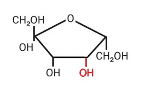
알룰로스의 화학적 구조
알룰로스는 D-프럭토스와 구조적으로 매우 유사하지만, 단지 하나의 수소 원자의 위치가 다릅니다. 이 작은 차이로 인해 알룰로스는 신체에서 거의 흡수되지 않고, 따라서 칼로리와 혈당에 미치는 영향이 매우 낮습니다.

알룰로스의 효능과 장점
1. 저칼로리 감미료
알룰로스의 가장 큰 장점은 거의 제로에 가까운 칼로리를 제공한다는 점입니다. 일반 설탕의 칼로리가 1g당 4kcal인 반면, 알룰로스는 1g당 0.2kcal로, 설탕의 약 1/20에 불과합니다. 이는 체중 관리를 고려하는 사람들에게 큰 매력으로 다가옵니다.

2. 혈당 수치에 미치는 영향이 적음
알룰로스는 혈당 수치를 급격히 상승시키지 않기 때문에 당뇨병 환자나 혈당 관리가 필요한 사람들에게도 안전한 대체 감미료로 간주됩니다. 연구에 따르면, 알룰로스는 혈당과 인슐린 반응에 거의 영향을 미치지 않으며, 오히려 포도당 대사를 개선하는 데 도움이 될 수 있습니다.
3. 항산화 및 항염 효과
알룰로스는 항산화 및 항염 효과도 가지고 있는 것으로 알려져 있습니다. 알룰로스가 활성산소를 억제하고, 염증 반응을 줄이는 데 도움을 줄 수 있다는 연구 결과가 있습니다. 이는 알룰로스가 단순히 칼로리가 낮을 뿐만 아니라, 전반적인 건강 개선에 기여할 수 있음을 시사합니다.
4. 설탕과 유사한 맛
알룰로스는 설탕과 매우 유사한 맛을 가지고 있어, 다른 대체 감미료와 비교했을 때 식감과 풍미가 우수합니다. 이는 요리나 베이킹에서 설탕 대신 사용하기에 적합한 이유 중 하나입니다. 알룰로스는 단맛이 설탕의 약 70% 정도로, 단맛을 조절할 때 적절한 양을 사용하면 설탕 대체제로 이상적입니다.

알룰로스의 사용 방법
1. 알룰로스를 이용한 요리와 베이킹
알룰로스는 설탕과 거의 유사한 특성을 가지고 있어, 다양한 요리와 베이킹에 활용될 수 있습니다. 설탕이 들어가는 모든 음식에 알룰로스를 대체하여 사용할 수 있으며, 특히 다이어트나 저탄수화물 식단을 지향하는 사람들에게 이상적입니다.
- 베이킹: 알룰로스는 설탕과 유사한 구조 덕분에 베이킹 시 설탕 대신 사용하기에 좋습니다. 쿠키, 케이크, 머핀 등에서 설탕을 대체하여 사용하면 칼로리 섭취를 줄일 수 있습니다.
- 음료: 커피, 차, 스무디 등 다양한 음료에 설탕 대신 알룰로스를 첨가하면 칼로리 걱정 없이 단맛을 즐길 수 있습니다.
- 드레싱과 소스: 샐러드 드레싱이나 각종 소스에도 설탕 대신 알룰로스를 사용하여 건강한 맛을 더할 수 있습니다.

2. 알룰로스의 적절한 사용량
알룰로스는 설탕보다 단맛이 약간 적기 때문에, 동일한 단맛을 얻기 위해서는 설탕보다 더 많은 양을 사용할 수 있습니다. 그러나 알룰로스의 과다 섭취는 위장 불편을 일으킬 수 있으므로 적절한 사용량을 지키는 것이 중요합니다. 일반적으로 하루 10g 이하의 알룰로스를 섭취하는 것이 권장됩니다.
3. 다른 감미료와의 조합
알룰로스는 다른 천연 감미료와 조합하여 사용할 때 그 효과가 더욱 극대화될 수 있습니다. 예를 들어, 스테비아, 에리스리톨과 같은 감미료와 혼합하여 사용하면 단맛을 더 높이면서도 칼로리와 혈당 영향을 최소화할 수 있습니다.
알룰로스의 안전성과 부작용
1. 알룰로스의 안전성
알룰로스는 FDA(미국 식품의약국)와 EFSA(유럽식품안전청)에서 일반적으로 안전한 것으로 인정(GRAS)되었으며, 다양한 연구를 통해 그 안전성이 입증되었습니다. 이는 알룰로스가 일반적으로 건강한 사람들에게 안전하게 소비될 수 있음을 의미합니다.
2. 알룰로스의 부작용
알룰로스는 일반적으로 부작용이 거의 없지만, 일부 사람들은 과다 섭취 시 위장 불편, 복부 팽만, 설사 등의 증상을 경험할 수 있습니다. 이는 알룰로스가 체내에서 거의 흡수되지 않고, 대부분 소장에서 발효되어 가스가 발생하기 때문입니다. 따라서 알룰로스를 처음 사용하는 사람들은 소량부터 시작하여 점차 섭취량을 늘리는 것이 좋습니다.
3. 특정 질환자와의 관계
알룰로스는 당뇨병 환자에게 적합한 감미료로 여겨지지만, 신장 질환이 있는 사람이나 특정 소화 문제를 가진 사람들에게는 사용 전 의사와 상담이 필요할 수 있습니다. 이는 알룰로스가 소화 과정에서 특이한 반응을 일으킬 가능성이 있기 때문입니다.
알룰로스의 시장 전망과 미래
1. 건강식품 시장에서의 알룰로스
알룰로스는 최근 몇 년간 건강한 식습관을 추구하는 사람들 사이에서 인기를 얻고 있습니다. 설탕의 대체제로서 알룰로스는 점점 더 많은 식품 제조업체와 소비자들에게 선택받고 있으며, 특히 저칼로리 식품, 저탄수화물 식단, 당뇨병 관리 식품에서 큰 수요가 예상됩니다.
2. 연구와 개발
알룰로스에 대한 연구는 여전히 진행 중이며, 그 잠재적인 건강 효능에 대한 관심이 높아지고 있습니다. 특히 알룰로스가 체중 관리, 혈당 조절, 그리고 만성 질환 예방에 미치는 영향에 대한 연구가 활발히 이루어지고 있으며, 이로 인해 알룰로스의 적용 범위가 더욱 확대될 것으로 보입니다.
3. 규제와 정책
알룰로스의 사용에 대한 규제는 국가별로 다르며, 일부 국가에서는 아직 알룰로스 사용이 제한적일 수 있습니다. 그러나 알룰로스의 건강 효능과 안전성이 입증됨에 따라, 점차 더 많은 국가에서 알룰로스의 사용이 허용되고 있으며, 앞으로 더욱 광범위한 사용이 기대됩니다.
알룰로스의 미래와 우리의 선택
알룰로스는 현대 사회에서 건강한 식습관을 추구하는 사람들에게 이상적인 대체 감미료로 자리 잡고 있습니다. 설탕의 대안으로서 알룰로스는 칼로리가 거의 없고, 혈당에 미치는 영향이 적어, 체중 관리와 당뇨병 관리에 중요한 역할을 할 수 있습니다. 그러나 알룰로스의 사용에는 적절한 주의가 필요하며, 개인의 건강 상태에 따라 사용량을 조절하는 것이 중요합니다.
앞으로 알룰로스에 대한 연구와 개발이 계속될 것이며, 우리는 알룰로스를 포함한 다양한 대체 감미료를 통해 더 건강한 식단을 구성할 수 있는 기회를 가지게 될 것입니다. 알룰로스는 단순히 설탕을 대체하는 것이 아니라, 우리의 건강을 지키고 삶의 질을 높이는 데 기여할 수 있는 중요한 식품 성분으로 자리매김할 것입니다.